新闻中心
干细胞临床试验汇总
301医院II期临床试验:干细胞可通过多种机制减少糖尿病患者对外源性胰岛素需求
干细胞治疗糖尿病一直被看好,然而,长期缺少系统及客观的临床依据作为支撑。2022年5月3日,由中国人民解放军总医院第一医学中心(301医院)的研究人员于发表在《干细胞研究与治疗》杂志上的题为“Efficacy and safety of umbilical cord-derived mesenchymal stem cells in Chinese adults with type 2 diabetes: a single-center, double-blinded, randomized, placebo-controlled phase II trial ”的II期临床研究结果,很好的总结了干细胞(研究中采用的是脐带间充质干细胞)治疗对于2型糖尿病的潜在价值。
一、背景
2型糖尿病(T2DM)是一种异质综合征,其特征是由于胰岛素敏感性降低和胰岛素分泌减少导致血糖控制进行性恶化,由于其高患病率和严重发病率已成为全球人类健康的严重威胁。饮食控制、体育锻炼和降糖药物已被证明可以暂时改善高血糖,但不能抑制T2DM的发病机制或降低发病率。因此,需要开发更有效的治疗T2DM的方法。
间充质干细胞 (MSCs) 是一种成体干细胞,通过分泌多种细胞因子和免疫抑制分子,具有很强的抗炎和免疫调节能力[1,2]。其已成功应用于治疗不同类型的自身免疫性疾病,如中风[3]、心肌梗塞[4]、类风湿性关节炎、系统性红斑狼疮[5,6]和移植物抗宿主病[7]。胰岛中的慢性炎症反应和免疫紊乱会导致胰岛素抵抗、胰岛β细胞破坏和T2DM的发病。因此,MSCs移植可能是T2DM的一种治疗选择。以往的动物研究表明,MSCs治疗通过促进胰岛恢复和减轻胰岛素抵抗来改善高血糖[8 , 9]。此外,越来越多的临床试验报告了MSCs移植对T2DM患者的治疗效果和安全性 [10 ,11,12,13,14 ,15,16,17,18,19, 20]。
MSCs可以来源于各种组织(例如,骨髓、脂肪组织和脐带),MSCs的获取或应用是没有伦理争议的。MSCs最初是从骨髓中分离出来的[21],这被认为是用于治疗T2DM [22]的最容易获得的 MSCs来源。几项临床试验证实了骨髓来源的MSCs (BM-MSCs)在T2DM中的治疗潜力 [10, 12,14,15,16,17]。脐带来源的MSCs (UC-MSCs)具有与BM-MSCs相似的免疫抑制特性,并且由于其低成本、无痛、高产量、快速收集和非免疫原性特征而具有治疗T2DM的临床潜力[19]。然而,很少有临床研究专注于用UC-MSCs治疗T2DM,也少有临床试验报道 UC-MSCs对T2DM患者胰岛素抵抗的影响。因此,开展了一项单中心、随机、双盲、安慰剂对照的II期试验,以探讨静脉输注UC-MSCs在T2DM患者中的疗效和安全性。
二、方法
研究设计和参与者
这项前瞻性、单中心、随机、双盲、安慰剂对照的II期试验于2015年10月至2018年12月在中国人民解放军总医院第一医学中心进行。研究方案获得批准PLAGH第一医学中心伦理委员会(批准号:2013-107-01),符合赫尔辛基宣言指南。所有参与者在招募前都提供了书面知情同意书。该研究已在ClinicalTrials.gov上注册(备案编号:NCT02302599)。
符合以下纳入标准的患者符合入组条件:(1)年龄在20至65岁之间;(2)诊断为T2DM的时间< 20年(HbA1c水平在7.0%-12.0%之间);(3)二甲双胍稳定胰岛素治疗 (0.5-1.0 U/kg/天) 控制不充分≥ 3个月;(4 )空腹C肽水平≥1 ng/mL;(5)体重指数(BMI)为24-40 kg/m2.如果患者有酮尿症、肿瘤、血清肌酐水平< 175μmol/L、先前诊断为心肌梗塞、当前心绞痛或心力衰竭、>1次主要血管事件、需要激光治疗的视网膜病变、恶性高血压、未干预的内分泌疾病、排除胰岛素治疗的职业、限制预期寿命的严重并发疾病、对研究方案的理解不足、药物滥用、计划怀孕和过敏体质。
程序
人脐带取自在中国人民解放军第一医学中心分娩的健康妇女。所有受试者均提供知情同意。所有程序均按照中国人民解放军第一医学中心伦理委员会指南进行。UC-MSCs从静脉和动脉周围的凝胶状组织中分离出来,并通过表型分析和细胞分化试验进行表征,如前所述 [23, 24]。符合入选标准的患者被随机分配接受静脉输注UC-MSCs(100mL)或相同剂量的安慰剂(UC-MSCs悬浮液,由含有3%人白蛋白和0.5 mL多种维生素的生理盐水组成)肘关节静脉输注3次,间隔4周,观察24小时后出院,无不良反应。本研究采用4代UC-MSCs,每次输注UC-MSCs总数为1×106/kg。
出院后,每12周对患者进行一次为期48周的随访,并要求在随访期间的不同时段进行血糖自我监测(每周≥15次,包括5点曲线)。胰岛素滴定基于外周血葡萄糖水平,目标空腹血糖水平在4.4和7.0 mmol/L之间。建议患者在住院和随访期间保持规律的饮食和健康的生活方式管理。如果在研究期间的任何时候患者的每日总胰岛素剂量≤0.2 U/kg,则他们停止使用外源性胰岛素并给予口服抗糖尿病药以预防低血糖。如果患者在每日总胰岛素剂量为>1.5 U/kg的情况下出现血糖不受控制,他们将停止研究,并根据患者病情调整降糖策略,预防糖尿病并发症。
每12周评估一次胰岛素需求和HbA1c水平。
三、结果
人UC-MSC的表征
培养的人类UC-MSCs具有双极纺锤形和成纤维细胞样形态,随后检查了贴壁细胞的免疫表型特征和多向分化潜能。细胞表达UC-MSCs的表面标志物,包括CD90、CD73和CD105,而UC-MSCs的阴性标志物,包括CD34、CD45和HLA-DR,均未检测到。此外,UC-MSCs 表现出对成骨细胞和脂肪细胞的分化潜力。
研究人群
2015年10月至2018年12月期间,筛选了183名患者的资格,最终招募了91名患者。入组受试者被随机分配接受UC-MSCs移植(n =45)或安慰剂(n=46)。共有73名(86.8%)患者完成了试验,其中UC-MSCs组37名(82.2%)患者和安慰剂组36名(78.3%)患者。安慰剂组中的两名患者未完成所有治疗。2例患者因不良事件退出,两组均失访6例(图1)。两组患者在基线时的人口统计学和临床特征是平衡的(表1)。


疗效
与安慰剂组相比,UC-MSCs组有更多患者达到主要终点。治疗后48周,UC-MSCs组20%的患者达到糖化血红蛋白<7.0%和每日外源胰岛素降低≥50%的目标,而安慰剂组为4.55%(p<0.05,表2)。两组之间比率差异的95% CI为2.25-28.66%。

在两组中,与其各自的基线值相比,9、20、32和48周的每日胰岛素需求量逐渐减少(与两组基线相比,p<0.01)。然而,在9、20、32和48周时,UC-MSCs组患者的胰岛素需求仍低于安慰剂组(0.50±0.18vs0.63±0.19 U/kg/天,p <0.01;0.50±0.24vs0.58±0.24U/kg/day,p>0.05;0.49±0.24vs0.59±0.27 U/kg/day, p>0.05; 0.45±0.25vs0.57±0.26U/kg/day,p< 0.05)(图2A)。两组在相同时间点的总胰岛素剂量观察到相似的模式(38.80±15.89vs49.75±14.92U/天,p<0.01; 37.81±19.87vs45.56±19.14 U/天,p>0.05;37.32±19.63与46.19±21.85 U/天,p>0.05;34.51±20.19vs45.19±21.21 U/天,p<0.05)(图2B)。在9、20、32和48周时,UC-MSCs组的胰岛素减少百分比显著高于安慰剂组(30.00%vs12.77%,p<0.01;27.83%vs15.25%,p<0.01 ; 24.44% vs 10.24%, p < 0.05, 27.78%vs15.62%, p<0.05)(2C)。总体而言,13.5% (5/37) 的患者在UC-MSCs 移植后8-24周(12±7.6周)内不再使用胰岛素,并且在37.2±15.2周内没有重复使用胰岛素。而安慰剂组中的所有患者除外。

UC-MSCs移植后HbA1c水平下降,治疗后9周降幅最大,随访20、32、48周略有升高;然而,它们仍然低于基线值。此外安慰剂组的HbA1c水平在9周时略有下降,然后逐渐升高至较高水平。随访期间UC-MSCs组HbA1c水平低于安慰剂组( 9周和48周p <0.01,20周p<0.05,32周p<0.05)两组)(图2D)。UC-MSCs组的HbA1c水平在48周时下降了1.31%,而对照组仅下降了0.63%(p=0.0081)。与安慰剂组相比,UC-MSCs的更多参与者在9、20、32和48周时达到了目标HbA1c水平(<7.0%)。这些结果表明了UC-MSCs移植在T2DM中的治疗潜力。
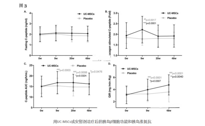
UC-MSCs 组的空腹C肽水平在治疗后没有显著变化,但安慰剂组下降(图3A)。UC-MSCs 组中胰高血糖素刺激的C肽水平倍数变化在9周时增加,在20周和48周时逐渐降低。安慰剂组C肽水平的倍数变化逐渐降低。UC-MSCs 组中的AUCC-pep在9周和20周时增加,在48周时略有下降,安慰剂组逐渐下降。这些结果表明,UC-MSCs并未显著改善T2DM患者的胰岛β细胞功能。

HEC结果显示,UC-MSCs移植有效降低了T2DM患者的胰岛素抵抗。安慰剂组在基线和9周和48周的GIR分别为3.26、3.26和3.60 mg/min/kg(与基线相比p>0.05),UC-MSCs组的GIR分别为3.12、3.97和分别为4.76 mg/min/kg( 与基线相比,第9周和第48周时p<0.01)(两组之间在第 9周时p<0.05,在第48周时p<0.01)(图3D)。
安全性
所有不良事件总结在表3中。UC-MSCs组中的两名患者退出试验。一名女性患者有10年的高血压和高血脂病史,在第三次输注UC-MSCs后1个月出现脑梗塞。治疗两个月后康复。一名男性患者在第三次输注UC-MSCs后3个月因意外导致股骨颈骨折。在与独立裁决委员会讨论后,认为这些事件与UC-MSCs治疗无关。

在安慰剂组中,一名患有胰岛素自身抗体(IAA)阳性的患者和一名患有增生性贫血的患者退出了试验。一名患者被诊断为甲状腺乳头状癌,一名患者在最后一次就诊时被诊断为前列腺癌;因此,他们停止了这项研究。在研究期间没有报告与治疗相关的死亡。其他患者肿瘤标志物未见阳性,影像学检查未发现肿瘤。体质检查和实验室测试显示,在随访的48周内没有其他与UC-MSCs相关的副作用。所有患者 (n=91) 仍在接受潜在迟发性副作用的随访。
四、讨论
这项前瞻性、单中心、随机、双盲、安慰剂对照的II期试验表明,与安慰剂组相比,在肘关节静脉输注UC-MSC可使更高比例的患者达到目标HbA1c水平<7.0%和降低每日胰岛素用量,48周时≥50%。UC-MSCs 治疗减少了每日胰岛素需求,降低了HbA1c水平,并以时间依赖性方式改善了胰岛素抵抗。未发生与UC-MSCs移植相关的重大不良事件。这些结果表明了UC-MSCs移植治疗T2DM是安全和有效的。
2009年,Bhansali等人首先表明BM-MSCs移植显著降低了10名T2DM患者的胰岛素需求并提高了刺激的C肽水平[10]。随后,多项研究证实了BM-MSCs和胎盘来源的MSCs在T2DM治疗中的有效性和安全性 [11,12,13,14,15,16,17],包括三个前瞻性、随机、单盲安慰剂对照研究 [14,15,17]。UC-MSCs具有低免疫原性,容易获取和不涉及伦理问题 [25]。因此,它们可能是糖尿病细胞疗法的新来源。三项研究使用UC-MSCs移植治疗人类T2DM。一项研究中的患者的胰岛素需求减少≥50%受试者)。然而,这些指数在接下来的3-6个月内恶化 [18]。在另一项研究中,18名T2DM患者接受3次UC-MSCs静脉输注,间隔2周,共6个月。结果显示,18名患者中有8名对治疗有反应,表现为空腹和餐后血糖水平降低;然而,治疗前后的胰岛素剂量没有显著差异[19]。
在另一项试验中,6名T2DM患者接受两次静脉输注UC-MSCs治疗,间隔2周,随访时间≥24个月。1/2的患者25至43个月之间不再使用胰岛素。其余患者继续需要注射胰岛素,但剂量明显减少[20]。这些研究初步证实了UC-MSCs治疗T2DM的疗效。然而,治疗后胰岛素需求的结果并不一致。在这项双盲、随机、安慰剂对照研究中,与安慰剂组相比,UC-MSCs组中更多的患者在治疗后48周达到了主要终点,并且在UC-MSCs治疗后胰岛素需求量呈时间依赖性下降方式,这表明 UC-MSCs治疗T2DM的疗效。然而,我们的UC-MSCs组中胰岛素减少的百分比和无胰岛素患者的比例低于其他研究中报道的,这可能是由于入组受试者的异质性所致。
既往研究表明,T2DM患者的HbA1c水平在UC-MSCs移植后逐渐下降1.2%,在治疗后3 个月和6个月观察到最大下降,并在12个月时略有上升[18]。在本研究中,UC-MSCs组的HbA1c水平下降1.31%,达到目标HbA1c水平(<7%)的患者百分比在第9周时最高(55.56%),并维持在约40%。我们的UC-MSCs组中HbA1c变化的趋势与其他研究中发表的使用 UC-MSCs移植治疗T2DM患者的情况相似。此外,与其他治疗T2DM的常见降糖药相比,我们的UC-MSCs输注实现了HbA1c水平下降的情况相似,这证实了UC-MSCs治疗T2DM的高效性。
动物研究表明,间充质干细胞移植通过促进残留β细胞复制、改善胰岛自噬功能、促进胰岛β细胞表型去分化和胰岛局部微环境中巨噬细胞的极化修复[26 , 27]。此外,一些临床研究探讨了UC-MSCs对T2DM患者胰岛β细胞功能的影响。他们发现空腹血清C肽水平在 UC-MSCs移植后6个月逐渐升高至峰值,然后在12个月略有下降。同样,另一项研究发现,UC-MSCs输注后四个时间点(OGTT 0、1、2 和3小时)血浆C肽水平没有显著变化[19]。在UC-MSCs组中没有观察到空腹血浆C肽水平的显著改善。UC-MSCs 输注后胰高血糖素刺激的C肽水平和AUCC-pep暂时升高然后逐渐降低至基础水平。动物研究表明,β细胞去分化而不是细胞凋亡是T2DM 的主要因素。UC-MSCs治疗是逆转T2DM中β细胞去分化的有前景的策略。由于UC-MSCs的逆转作用在β细胞分化的早期阶段更强烈[28],因此长期患病的患者胰岛β细胞功能的改善并不明显。这提示了疾病发生早期用UC-MSC早受益。
MSCs输注已被证明可改善动物T2DM模型中的胰岛素抵抗。BM-MSCs输注通过激活胰岛素受体底物1/蛋白激酶B信号通路,以改善T2DM大鼠的胰岛素抵抗[9]。UC-MSCs通过诱导脂肪组织巨噬细胞进入抗炎表型来降低2型糖尿病大鼠的胰岛素抵抗 [29]。此外,脂肪来源的间充质干细胞通过调节肝脏葡萄糖代谢改善2型糖尿病大鼠的高血糖症 [30]。据报道,UC-MSCs通过抑制NLRP3炎症小体介导的炎症来改善T2DM大鼠肝脏和脂肪组织中的胰岛素抵抗[31]。很少有临床研究关注UC-MSCs对T2DM胰岛素抵抗的影响。在本研究中,我们证明UC-MSCs输注以时间依赖性方式显著减轻胰岛素抵抗,这表明 UC-MSCs治疗可有效改善T2DM中的胰岛素抵抗。
UC-MSCs对多种疾病的治疗效果已有报道,未见明显不良反应报道[32 , 33]。在我们的研究中,一名患者因长期未控制的高血压和高脂血症而患脑梗塞,这与输注UC-MSCs无关,未发现细胞相关的免疫反应或肿瘤形成。安全性评估表明,通过静脉输注给予UC-MSCs在T2DM患者中具有良好的耐受性。但需要进一步观察可能的移植并发症。
这项研究是一项单中心试验,招募了少量中国患者。入组受试者的年龄、T2DM病程、胰岛 β细胞功能状况和胰岛素抵抗具有高度异质性。因此,该结果不能扩展到所有T2DM患者。由于我们的患者接受了短期随访,因此需要长期随访来验证当前的研究结果。未来需要更多病例数的良好对照研究来阐明静脉输注UC-MSCs治疗T2DM的有效性和安全性。
五、结论
这项前瞻性、单中心、随机、双盲、安慰剂对照试验表明,通过静脉输注给予UC-MSCs是一种安全有效的方法,可以减少外源性胰岛素需求并减轻T2DM患者的胰岛素抵抗。UC-MSCs移植可能是T2DM的潜在治疗选择。
参考文献
1、Ge W, Jiang J, Arp J, Liu W, Garcia B, Wang H. Regulatory T-cell generation and kidney allograft tolerance induced by mesenchymal stem cells associated with indoleamine 2,3-dioxygenase expression. Transplantation. 2010;90:1312–20.
2、Gieseke F, Böhringer J, Bussolari R, Dominici M, Handgretinger R, Müller I. Human multipotent mesenchymal stromal cells use galectin-1 to inhibit immune effector cells. Blood. 2010;116:3770–9.
3、Chopp M, Li Y. Treatment of neural injury with marrow stromal cells. Lancet Neurol. 2002;1:92–100.
4、Schächinger V, Erbs S, Elsässer A, Haberbosch W, Hambrecht R, Hölschermann H, et al. Intracoronary bone marrow-derived progenitor cells in acute myocardial infarction. N Engl J Med. 2006;355:1210–21.
5、Liang J, Zhang H, Hua B, Wang H, Lu L, Shi S, et al. Allogenic mesenchymal stem cells transplantation in refractory systemic lupus erythematosus: a pilot clinical study. Ann Rheum Dis. 2010;69:1423–9.
6、Sun L, Wang D, Liang J, Zhang H, Feng X, Wang H, et al. Umbilical cord mesenchymal stem cell transplantation in severe and refractory systemic lupus erythematosus. Arthritis Rheum. 2010;62:2467–75.
7、Le Blanc K, Frassoni F, Ball L, Locatelli F, Roelofs H, Lewis I, et al. Mesenchymal stem cells for treatment of steroid-resistant, severe, acute graft-versus-host disease: a phase II study. Lancet. 2008;371:1579–86.
8、Hao H, Liu J, Shen J, Zhao Y, Liu H, Hou Q, et al. Multiple intravenous infusions of bone marrow mesenchymal stem cells reverse hyperglycemia in experimental type 2 diabetes rats. Biochem Biophys Res Commun. 2013;436:418–23.
9、Si Y, Zhao Y, Hao H, Liu J, Guo Y, Mu Y, et al. Infusion of mesenchymal stem cells ameliorates hyperglycemia in type 2 diabetic rats: identification of a novel role in improving insulin sensitivity. Diabetes. 2012;61:1616–25.
10、Bhansali A, Upreti V, Khandelwal N, Marwaha N, Gupta V, Sachdeva N, et al. Efficacy of autologous bone marrow-derived stem cell transplantation in patients with type 2 diabetes mellitus. Stem Cells Dev. 2009;18:1407–16.
11、Jiang R, Han Z, Zhuo G, Qu X, Li X, Wang X, et al. Transplantation of placenta-derived mesenchymal stem cells in type 2 diabetes: a pilot study. Front Med. 2011;5:94–100.
12、Hu J, Li C, Wang L, Zhang X, Zhang M, Gao H, et al. Long term effects of the implantation of autologous bone marrow mononuclear cells for type 2 diabetes mellitus. Endocr J. 2012;59:1031–9.
13、Zhao Y, Jiang Z, Zhao T, Ye M, Hu C, Zhou H, et al. Targeting insulin resistance in type 2 diabetes via immune modulation of cord blood-derived multipotent stem cells (CB-SCs) in stem cell educator therapy: phase I/II clinical trial. BMC Med. 2013;11:160.
14、Wu Z, Cai J, Chen J, Huang L, Wu W, Luo F, et al. Autologous bone marrow mononuclear cell infusion and hyperbaric oxygen therapy in type 2 diabetes mellitus: an open-label, randomized controlled clinical trial. Cytotherapy. 2014;16:258–65.
15、Bhansali A, Asokumar P, Walia R, Bhansali S, Gupta V, Jain A, et al. Efficacy and safety of autologous bone marrow-derived stem cell transplantation in patients with type 2 diabetes mellitus: a randomized placebo-controlled study. Cell Transplant. 2014;23:1075–85.
16、Skyler JS, Fonseca VA, Segal KR, Rosenstock J. Allogeneic mesenchymal precursor cells in type 2 diabetes: a randomized, placebo-controlled, dose-escalation safety and tolerability pilot study. Diabetes Care. 2015;38:1742–9.
17、Bhansali S, Dutta P, Kumar V, Yadav MK, Jain A, Mudaliar S, et al. Efficacy of autologous bone marrow-derived mesenchymal stem cell and mononuclear cell transplantation in type 2 diabetes mellitus: a randomized. Placebo-Controlled Comparative Study Stem Cells Dev. 2017;26:471–81.
18、Liu X, Zheng P, Wang X, Dai G, Cheng H, Zhang Z, et al. A preliminary evaluation of efficacy and safety of Wharton’s jelly mesenchymal stem cell transplantation in patients with type 2 diabetes mellitus. Stem Cell Res Ther. 2014;5:57.
19、Kong D, Zhuang X, Wang D, Qu H, Jiang Y, Li X, et al. Umbilical cord mesenchymal stem cell transfusion ameliorated hyperglycemia in patients with type 2 diabetes mellitus. Clin Lab. 2014;60:1969–76.
20、Guan LX, Guan H, Li HB, Ren CA, Liu L, Chu JJ, et al. Therapeutic efficacy of umbilical cord-derived mesenchymal stem cells in patients with type 2 diabetes. Exp Ther Med. 2015;9:1623–30.
21、Pittenger MF, Mackay AM, Beck SC, Jaiswal RK, Douglas R, Mosca JD, et al. Multilineage potential of adult human mesenchymal stem cells. Science. 1999;284:143–22、Mageed AS, Pietryga DW, DeHeer DH, West RA. Isolation of large numbers of mesenchymal stem cells from the washings of bone marrow collection bags: characterization of fresh mesenchymal stem cells. Transplantation. 2007;83:1019–26.
23、Bieback K, Kern S, Klüter H, Eichler H. Critical parameters for the isolation of mesenchymal stem cells from umbilical cord blood. Stem Cells. 2004;22:625–34.
24、Li W, Zhang Q, Wang M, Wu H, Mao F, Zhang B, et al. Macrophages are involved in the protective role of human umbilical cord-derived stromal cells in renal ischemia-reperfusion injury. Stem Cell Res. 2013;10:405–16.
25、Yagi H, Soto-Gutierrez A, Parekkadan B, Kitagawa Y, Tompkins RG, Kobayashi N, et al. Mesenchymal stem cells: mechanisms of immunomodulation and homing. Cell Transplant. 2010;19:667–79.
26、Zhao K, Hao H, Liu J, Tong C, Cheng Y, Xie Z, et al. Bone marrow-derived mesenchymal stem cells ameliorate chronic high glucose-induced β-cell injury through modulation of autophagy. Cell Death Dis. 2015;6:e1885.
27、Yin Y, Hao H, Cheng Y, Zang L, Liu J, Gao J, et al. Human umbilical cord-derived mesenchymal stem cells direct macrophage polarization to alleviate pancreatic islets dysfunction in type 2 diabetic mice. Cell Death Dis. 2018;9:760.
28、Li B, Cheng Y, Yin Y, Xue J, Yu S, Gao J, et al. Reversion of early- and late-stage β-cell dedifferentiation by human umbilical cord-derived mesenchymal stem cells in type 2 diabetic mice. Cytotherapy. 2021;23:510–20.
29、Xie Z, Hao H, Tong C, Cheng Y, Liu J, Pang Y, et al. Human umbilical cord-derived mesenchymal stem cells elicit macrophages into an anti-inflammatory phenotype to alleviate insulin resistance in type 2 diabetic rats. Stem Cells. 2016;34:627–39.
30、Xie M, Hao HJ, Cheng Y, Xie ZY, Yin YQ, Zhang Q, et al. Adipose-derived mesenchymal stem cells ameliorate hyperglycemia through regulating hepatic glucose metabolism in type 2 diabetic rats. Biochem Biophys Res Commun. 2017;483:435–41.
31、Sun X, Hao H, Han Q, Song X, Liu J, Dong L, et al. Human umbilical cord-derived mesenchymal stem cells ameliorate insulin resistance by suppressing NLRP3 inflammasome-mediated inflammation in type 2 diabetes rats. Stem Cell Res Ther. 2017;8:241.
32、Jin JL, Liu Z, Lu ZJ, Guan DN, Wang C, Chen ZB, et al. Safety and efficacy of umbilical cord mesenchymal stem cell therapy in hereditary spinocerebellar ataxia. Curr Neurovasc Res. 2013;10:11–20.
33、Li XY, Zheng ZH, Li XY, Guo J, Zhang Y, Li H, et al. Treatment of foot disease in patients with type 2 diabetes mellitus using human umbilical cord blood mesenchymal stem cells: response and correction of immunological anomalies. Curr Pharm Des. 2013;19:4893–9.

