NEWS CENTER
新闻中心
干细胞临床试验汇总
-
2025 年新临床数据表明,冷冻保存的脐带间充质干细胞治疗骨关节炎,疗效持久
2025-02-25近年来,间充质干细胞因其抗炎与组织修复潜力成为再生医学的研究热点。2025年最新文献表明,冷冻保存的脐带间充质干细胞治疗膝关节炎具有长期的疗效,在GMP环境下制备的脐带间充质干细胞有望成为膝骨关节炎患者的治疗新... -
《Science》研究表明:补充 NAD + 改善干细胞功能,与干细胞成抗衰老良方
2025-02-25随着年龄的增长,我们的身体会逐渐出现各种变化,皮肤变得松弛、免疫力下降、体力大不如前……这些现象的背后,其实都与一个关键因素有关——干细胞功能衰退。干细胞是一类具有自我更新和分化能力的特殊细胞,它们就像身体的“维... -
哈医大在研究中揭示,通过鼻腔给药途径,间充质干细胞上清液对缺血性中风具有治疗潜力。
2025-02-25在医学领域,缺血性中风是一个严重威胁人类健康的全球性难题。它来势汹汹,一旦发病,往往会给患者及其家庭带来沉重的打击。不过,随着科研人员的不断探索,一种新的治疗思路逐渐浮现——利用间充质干细胞衍生的上清液通过鼻... -
两次干细胞静脉回输!十二名老年患者经过治疗后衰老改善,生活质量提高,干细胞可以显著降低衰老相关的炎症水平
2025-02-22炎症被誉为“万病之源”,也是衰老的加速器。最新临床证明:间充质干细胞是预防患者年龄相关性炎症的潜在干预手段。12名患者在接受间充质干细胞回输后,炎症患者体内衰老相关的促炎细胞因子水平显著降低,生活质量得到显著提... -
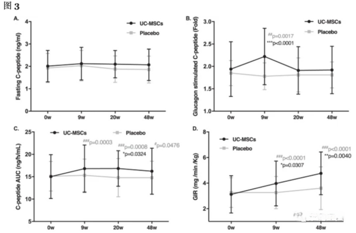
301医院研究结果:干细胞可减少对外源性胰岛素需求,早用早受益
2025-02-13干细胞治疗糖尿病一直被看好,然而,长期缺少系统及客观的临床依据作为支撑。由中国人民解放军总医院第一医学中心(301医院)的研究人员于发表在《干细胞研究与治疗》杂志上的题为“Efficacy and safety of umbilical cord...

