新闻中心
干细胞临床试验汇总
平替透明质酸!《临床医学》杂志:干细胞分泌组可明显改善膝骨关节炎的临床结果
骨关节炎(OA)在全世界的患病率相当高,是最常见的肌肉骨骼疾病之一。根据世界卫生组织 (WHO) 的数据,全球60岁以上男性OA的发病率为9.6%,女性为18%。
骨关节炎是一种引起疼痛的疾病,会导致患者参与日常身体活动的能力受损。膝骨关节炎疼痛症状的影响因素之一是骨赘的存在,骨赘是骨的生长物,以及积液导致的关节囊拉伸。骨赘和积液的形成与关节炎症密切相关。促炎细胞因子引起分解代谢酶的表达,例如基质金属蛋白酶 (MMP),从而导致软骨破坏。

骨关节炎治疗的重点不仅是减轻疼痛,而且是改善功能和生活质量。对症治疗是OA的标准治疗方法。给OA患者服用非甾体类抗炎药 (NSAID) 镇痛药以减轻疼痛症状。与骨关节炎相关的疼痛是慢性且进行性的,因此服用非甾体抗炎药的长期影响通常是不良的。美国和加拿大的关节炎、风湿病和老龄化医疗信息系统(ARAMIS)获得的数据表明,OA和类风湿性关节炎患者接受NSAIDs相关胃肠道疾病治疗的可能性是普通人群的2.5至5倍,每年有16,500 例死亡与 NSAIDs 相关。
关节内注射糖皮质激素和粘稠补充剂(例如透明质酸)是治疗骨关节炎的一种方法。透明质酸作为粘稠补充剂对症状改善的效果是中期的,但效果仅能保持几个月。研究人员正在探索基于细胞的疗法,例如间充质干细胞分泌组和间充质干细胞,它们可以修复软骨损伤。
一项在由英国和印度两国学者共同开展的开放标签临床试验中,将30名膝骨关节炎患者分为两组,接受(脐带间充质干细胞)UC-MSC分泌组和透明质酸注射。该研究使用 VAS 和 WOMAC 评估临床结果,并测量治疗前后的MMP-3和TGF-β1水平。
临床结果
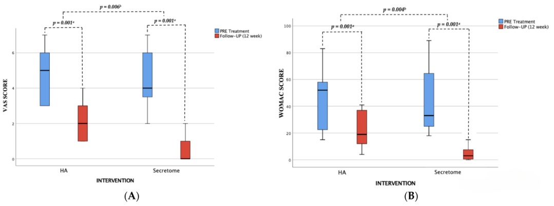
根据使用视觉模拟量表(VAS)和西安大略大学和麦克马斯特大学骨关节炎指数(WOMAC)对疼痛水平的评估(见下图),统计分析显示,UC-MSC Secretome 和透明质酸治疗前后疼痛评分平均下降(通过VAS和WOMAC测量)存在显着差异 ( p<0.05)。

UC-MSC分泌组和透明质酸 (HA) 治疗前和治疗后测量第12周的治疗效果,评估前后的统计显着性差异 ( p< 0.05)
来源:参考资料1
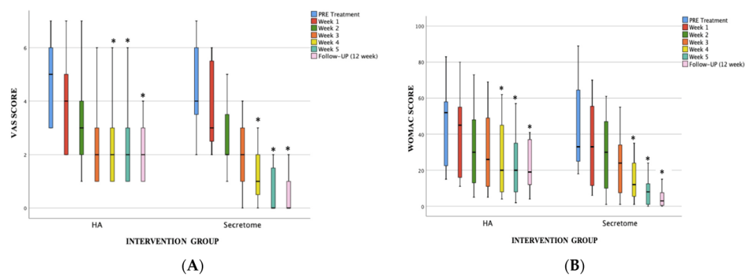
每周进行一次评估,以确定使用VAS和WOMAC指标测量疼痛强度的最佳时间(见下图)。根据结果,第三次注射UC-MSC分泌组显示VAS和WOMAC评估有统计显着性下降 ( p<0.05)。

一段时间内UC-MSC分泌蛋白组和透明质酸的治疗效果,在可识别点上具有统计学意义(p<0.05)
来源:参考资料1
生化结果
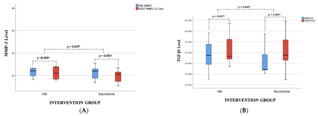
经过12周的监测,发现UC-MSC分泌组和透明质酸组表现出MMP-3比率下降和TGF-β1浓度上升。在UC-MSc Secretome 组中,MMP3比率显示降低了-2.81 ng/mL,而 TGF-β1水平显示增加了10,221.60 pg/mL,与透明质酸组相比更高。数据统计分析显示UC-MSC分泌组和透明质酸干预前后MMP-3减少率和TGF-β1增加率存在显着差异(p<0.05)。

比较UC-MSC分泌组和HA治疗前和治疗后的生化结果,评估前后有统计显着性差异 ( p<0.05)。
来源:参考资料1
总的来说,研究结果显示这项针对30名受试者的研究,与(透明质酸)HA组相比,(脐带间充质干细胞)UC-MSC分泌组的OA膝关节疼痛减轻。该疗法在第三次注射后最为有效,UC-MSC组显示MMP-3比率下降,TGF-β1上升。证实与注射透明质酸相比,UC-MSC 分泌组关节内注射在5周的时间间隔内明出现明显的临床改善、生物标志物变化,并且无副作用。
讨论
骨关节炎引起的膝盖疼痛症状,常常促使人们寻求有效的医疗保健。疼痛的严重程度取决于关节损伤程度,并且在个体和关节类型之间存在差异。关节内注射的主要目的是减轻疼痛。据笔者了解,这项研究是第一个评估在两个不同患者组中施用UC-MSC分泌组和HA的比较效果的临床试验,评估主观结果和生物标志物。
从初次注射后一周开始,一直持续到注射后12周,两组患者的 VAS 和 WOMAC 评分均表现出统计学上的显着改善。根据研究结果,第三次施用UC-MSC分泌组导致VAS和WOMAC评分出现统计上显着的降低。
在 UC-MSC Secretome 组中,平均 VAS 评分从5显着下降至1,即12周后较基线下降80%。相比之下,透明质酸组报告VAS疼痛从5降低至2,相当于降低60%。在整个12周期间,两组的WOMAC分数都有显着提高。
UC-MSC Secretome 组的平均 WOMAC 评分从46分显着下降至5分,12周后较基线下降89%。相比之下,透明质酸组观察到从45减少到21,相当于减少了约47%。根据既定标准,达到这种水平的疼痛减轻表明与慢性疼痛相关的临床研究取得了成功,该标准认为疼痛减轻至少30% 表明存在相当大的临床意义差异。

UC-MSC分泌组在骨关节炎发病机制中的作用。图片来源:BioRender.com
来源:参考资料1
总之,这项研究除了支持之前的研究之外,还表明注射UC-MSC分泌蛋白组有可能提供持续的不适缓解、功能益处和潜在的膝关节软骨再生。HA可以在减轻疼痛和增强功能方面提供某些直接的好处。然而,重复施用UC-MSC分泌蛋白组显示出潜在的优势,因为它有可能改变疾病的进展。
参考资料:https://doi.org/10.3390/jcm12227138

