新闻中心
干细胞临床试验汇总
盘点干细胞外泌体治疗神经系统疾病,可促进神经发生、改善睡眠质量和认知功能
引言
干细胞外泌体以其独特优势,包括可透过血脑屏障、携带多种神经营养因子等,在治疗神经系统疾病时可以有效发挥多重作用。根据文献所述,目前干细胞外泌体通过经鼻给药、静脉回输、局部注射等方式,被应用到了帕金森、难治性抑郁症、焦虑障碍和神经退行性痴呆、中风、神经痛等疾病的治疗当中。在临床研究中,干细胞外泌体有效发挥了神经保护作用,增加神经发生、改善睡眠质量和认知功能。
在神经科学领域,探索有效的神经保护措施一直是研究热点。
近年来,随着干细胞外泌体的发展,基于外泌体干预和治疗神系统疾病的临床试验不断开展,为这一领域带来了革命性的突破。

图片来自网络
外泌体是细胞释放的一种纳米级囊泡,它们携带着丰富的生物活性分子,如蛋白质、脂质和核酸等。通过查阅文献可以发现,近些年涉及干细胞外泌体干预和治疗神系统疾病的临床试验越来越多。
干细胞外泌体以其独特优势,包括可透过血脑屏障、携带多种神经营养因子等,在治疗神经系统疾病时可以有效发挥多重作用。
干细胞外泌体治疗神经系统疾病的临床汇总
根据下表所示,目前干细胞外泌体通过经鼻给药、静脉回输、局部注射等方式,被应用到了帕金森、难治性抑郁症、焦虑障碍和神经退行性痴呆、中风、神经痛等疾病的治疗当中。

表一 ClinicalTrials.gov 数据库 (截至2022年)
外泌体修复神经系统疾病损伤机制
要了解外泌体与神经系统的关系,需要了解神经系统疾病的常见损伤机制,其中最主要的便是微小RNA。microRNA (miRNA) 涉及所有细胞过经元死亡、神经发生、血管生成、血小板聚集、白细胞浸润、血脑屏障 (BBB) 破坏和组织梗死,这些过程会影响 CNS 损伤后的神经功能缺损[1]。

图片引用自文献1
大量的外泌体研究集中在它们掺入和运输miRNA的能力上。当然这也是外泌体发挥神经保护作用的关键之一。
MSC 衍生的外泌体将 microRNA 转移到神经血管单位的各个细胞,并刺激实质脑细胞分泌生长和营养因子,从而促进神经恢复机制。
例如,在小胶质细胞来源的外泌体中,一种名为miR-124的微小RNA被证实能够显著降低神经元的凋亡,改善中风后的症状。
另一项研究表明,间充质干细胞衍生的外泌体能够通过传递miR-133b来抑制帕金森病模型中的神经元凋亡,促进神经突触的重塑和功能恢复。
这些研究成果不仅为我们理解外泌体的神经保护作用提供了有力证据,也为开发新的治疗策略提供了理论依据。
外泌体治疗神经系统疾病的主要机制[2,3]
1、血管生成:外泌体能够携带多种生长因子和信号分子,如血管内皮生长因子(VEGF),促进血管新生,改善受损组织的血供,从而支持神经组织的修复和再生。
2、神经发生:外泌体通过传递特定的miRNA和蛋白质,可以促进神经干细胞的增殖和分化,形成新的神经元,有助于受损神经系统的功能恢复。
3、突触生成:外泌体中的某些分子,如神经生长因子(NGF)和脑源性神经营养因子(BDNF),可以促进突触的形成和重塑,增强神经网络的可塑性,对认知功能的恢复具有积极作用。
4、少突胶质细胞生成:少突胶质细胞是中枢神经系统中负责髓鞘形成的细胞。外泌体能够促进少突胶质前体细胞的增殖和分化,从而有助于受损神经纤维的髓鞘再生。
5、抗炎反应:外泌体含有抗炎分子,如抗炎miRNA和蛋白质,能够抑制炎症反应,减少炎症细胞的浸润和炎症因子的释放,为神经组织的修复创造一个有利的微环境。
干细胞外泌体治疗神经系统疾病的效果汇总
在了解外泌体对脑血管神经修复作用后,那么外泌体究竟可以达到哪些临床效果呢?文献表明,外泌体可以有效发挥神经保护作用,改善神经系统疾病的多种症状。
(1)增强神经发生
近年来,外泌体在神经发生(Neurogenesis)中的作用受到了广泛关注。在一项研究中,研究人员探讨了来自间充质干细胞的外泌体对神经发生的潜在促进作用。实验中,间充质干细胞被培养并收集其外泌体,然后将这些外泌体应用于受损的神经细胞或动物模型中。结果表明,这些外泌体能够显著促进神经干细胞的增殖和分化,增强神经发生【4】。

图片引用自文献4
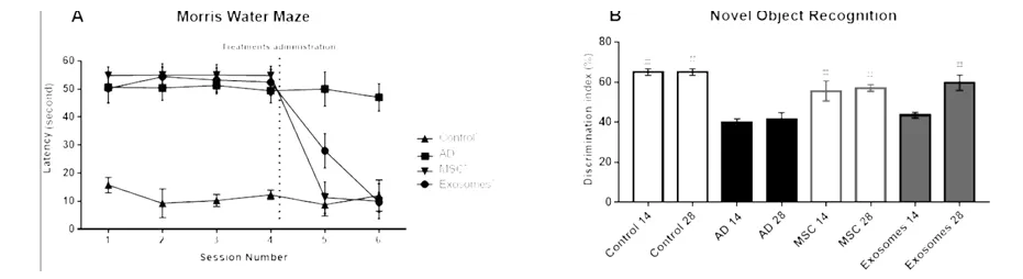
(2)提高学习能力和改善记忆能力减退
研究发现,间充质干细胞外泌体能够促进Aβ的降解,减缓认知功能的下降。有研究针对外泌体给药对阿尔茨海默病小鼠模型认知障碍的影响,小鼠在不同水迷宫测试期间,外泌体组和 MSC 组的小鼠的表现优于 AD 组小鼠。最终证明,外泌体可以提高学习能力和记忆力减退【5】。

图片引用自文献5
(3)改善失眠和提高睡眠质量
已有研究表明,外泌体能够调节神经系统的免疫反应和炎症反应,从而有助于改善睡眠质量。例如,一项研究探讨了外泌体在治疗神经退行性疾病中的潜在作用,发现它们能够减少炎症并改善睡眠障碍【6】。
小结
通过调节神经炎症、促进神经元再生和增强血脑屏障功能等方式,外泌体为神经系统疾病的治疗提供了新的思路。随着研究的不断发展,外泌体对医学的影响也日益显著。一方面,外泌体治疗为神经系统疾病患者提供了新的治疗希望,有望改善他们的生活质量。另一方面,外泌体治疗技术的发展也推动了医疗产业的创新和升级,促进了相关产业链的发展。
然而,外泌体技术的发展仍然面临着挑战。首先,外泌体的分离和纯化技术仍需提高与改进,以获得高纯度、高活性的外泌体。其次,外泌体的体内分布和代谢机制尚不明确,这影响了其治疗效果的评估和优化。此外,外泌体的安全性和潜在的免疫反应也需要进一步研究,未来,仍需开展大规模的临床试验,进一步推动外泌体治疗神经系统疾病的临床发展。
未来,随着研究的深入和技术的进步,相信外泌体将在神经系统疾病的治疗中发挥更重要的作用。

