新闻中心
干细胞临床试验汇总
间隔4周注射一次干细胞,共注射三次!患者功能障碍得到显著改善,效果持续一年以上
今日分享一则胎盘间充质干细胞治疗膝骨关节炎相关的临床文献。这项临床试验的原材料是冷冻保存的人胎盘间充质干细胞,共纳入26名II-III期膝骨关节炎患者。结果显示,三次关节内注射低温保存的胎盘间充质干细胞联合透明质酸治疗膝骨关节炎是安全有效的,患者关节疼痛、僵硬及功能障碍得到显著改善,并在1年随访中提供持续的临床改善。
在医学领域,膝骨关节炎(Knee Osteoarthritis, KOA)作为一种常见的退行性关节疾病,长期困扰着数以亿计的患者。
随着人口老龄化的加剧和肥胖率的上升,KOA的发病率逐年攀升,传统治疗方法如药物治疗、物理治疗及手术治疗虽能在一定程度上缓解症状,但往往难以根治,且存在副作用大、疗效有限等问题。
近年来,干细胞疗法作为一种新兴的治疗手段,为KOA患者带来了新的希望。

最近,发表在“ BMC Musculoskeletal Disorders”上的一篇名为“Effectiveness and safety of multiple injections of human placenta-derived MSCs for knee osteoarthritis: a nonrandomized phase I trial”的临床试验表明,三次关节内注射低温保存的胎盘间充质干细胞联合透明质酸治疗膝骨关节炎是安全有效的,并在1年随访中提供持续的临床改善 [1]。
26名患者临床实践:
冷冻保存的胎盘间充质干细胞,显著改善膝骨关节炎
这项临床试验的原材料是冷冻保存的人胎盘间充质干细胞(hP-MSCs)。
该研究采用非随机化、开放标签设计,共纳入26名II-III期KOA患者,分为对照组(仅接受透明质酸治疗)和MSC组(接受透明质酸联合hP-MSCs治疗)。
经过三次关节腔内注射(每次间隔4周),并对患者进行为期1年的随访观察。
研究结果显示:
1.安全性良好:首先是安全性问题,在治疗过程中实验组并未观察到严重不良反应,仅部分患者出现轻度疼痛、肿胀等短暂不适,且均在数日内自行缓解。
2.疗效显著:其次是治疗效果,与对照组相比,MSC组患者在6个月和1年时的WOMAC评分和VAS评分显著降低,表明关节疼痛、僵硬及功能障碍得到显著改善。

(图片来自参考文献1)
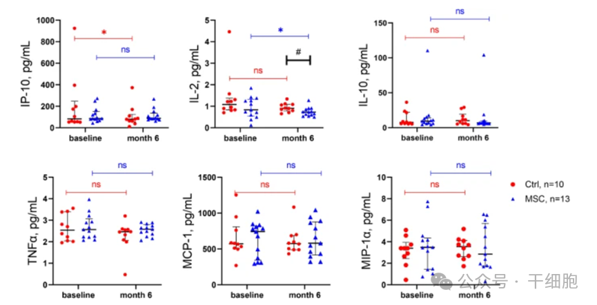
3. 机制探索:再者是相关的机制学探索,如下图所示,血清学分析显示,MSC组患者血清中IL-2水平显著降低,提示胎盘间充质干细胞具有显著的抗炎作用。

(图片来自参考文献1)
然而,MRI分析未发现两组患者在软骨厚度和光学密度指数上的显著差异,这可能与治疗时间较短或样本量较小有关。
多项临床证实:干细胞治疗骨关节炎具有多重益处
无独有偶,此前,发表在“Journal of Experimental Orthopaedics”上的一篇名为“Stem cells for the treatment of early to moderate osteoarthritis of the knee: a systematic review”的综述就也总结了近些年来干细胞疗法在OA上的临床益处。

(图片来源于参考文献3)
1. 疼痛缓解方面
大多数研究中研究者们都使用VAS评分进行疼痛缓解的评估,另外有六项临床研究使用了骨关节炎指数(WOMAC)进行疼痛缓解的评分。

(图片来源于参考文献3)
由以上的结果我们不难看出,经过3个月~5年时间不等的随访,经由干细胞注射后患者的疼痛评分大部分都有着显著下降,改善幅度在0.9至5.2分之间,这意味着患者的疼痛得到了显著的缓解。
2.功能改善方面
在评判临床治疗OA疗效方面,除了对于疼痛的缓解之外,机体功能的改善也是很重要的一点,膝关节功能的改善是衡量治疗效果的重要指标。
研究者汇总了近6年来的研究数据,主要结果如下图所示,研究者主要采用了膝关节损伤和骨关节炎结局评分(K.O.O.S.)、膝关节临床功能评分(K.S.S.)、EQ-5D-5L问卷和影像学分析等数据来对膝关节功能改善做出较为客观的分析。

(图片来源于参考文献3)
结果显示,经过干细胞治疗后,患者的膝关节功能评分显著提升,膝关节的内翻机械轴从1.5°提高到1.8°,骨髓病变大小从123.5 mm^2减小到90.3 mm^2,而用于检查软骨修复的MOCART评分也从46.5提高到57.1,以上证据都表明干细胞疗法治疗后患者膝关节的灵活性和活动能力都得到了不同程度的改善。
3.安全性良好
研究者汇总了12篇文献,共统计了539名OA患者,其中有4例患者注射完干细胞之后出现注射部位周围疼痛,抽吸部位轻微出血的症状,仅有2例患者出现了注射部位周围轻微发红或肿胀的症状。从以上结果可以看出,干细胞治疗的安全性较高,且没有发现严重的不良反应。
间充质干细胞改善膝骨关节炎的优势
膝骨关节炎是一种以关节软骨退化、软骨下骨异常为特征的慢性疾病,主要表现为关节疼痛、僵硬、肿胀及活动受限。
据统计,全球约有5.28亿人受此病困扰,且随着年龄的增长,患病率还在显著上升。传统治疗方法如非甾体抗炎药、糖皮质激素注射及关节置换术等,虽能暂时缓解症状,但长期效果有限,且可能带来一系列副作用,如胃肠道不适、感染风险增加等。
干细胞疗法,特别是间充质干细胞的应用,为KOA的治疗开辟了新的途径。

(图片可见参考文献2)
如上图所示,MSCs具有多向分化潜能,能够分化为软骨细胞、成骨细胞等,可以直接参与受损关节组织的修复与再生。此外,MSCs还具有免疫调节和抗炎作用,能够减轻关节炎症,改善关节微环境,从而促进软骨修复。
与传统治疗方法相比,干细胞疗法具有以下显著优势:
1.精准修复:MSCs能够定向迁移至受损部位,通过分化为软骨细胞直接参与软骨修复,提高治疗效果。
2.抗炎作用:MSCs通过分泌多种抗炎因子,减轻关节炎症,缓解疼痛,改善关节功能。
3.安全性高:干细胞疗法采用自体或异体干细胞,来源广泛,且经过严格筛选与培养,确保治疗的安全性。

